#网友语录 戴汩 如果你的每次射箭都是在靶心的右边,那么你的认知系统本身可能存在问题。
#网友语录 白板报 Baibanbao

在飞机上可舍不得睡觉。人类百年科技把我们送上蓝天,我们却在云端呼呼大睡,这不是暴殄天物吗?因此,无论如何,我要在空中写点什么。

在机舱里,可以目击人类的信息饥渴,哪怕手机置于飞行模式,人们依然在屏幕上划来划去,安卓人提前存好了视频,苹果人大部分不会往手机上传输文件,只能打开相册重温那些不太愿意回首的过往,直面那些不愿再见到的人,还有那些拍的七歪八扭、除了前景中一棵清晰的树和消防栓全都糊成一片的非不善、非不快乐的瞬间。

靠着过道的人伸长了脖子贪恋地看舷窗外的云海,而提前抢到靠窗座位的人正袖手缩脖地酣睡。空姐在卖仨瓜俩枣的餐饮,仿佛航空公司的盈亏全靠不知名字的瓶装水,它甚至不符合矿泉水的国标8537,而是滥竽充数的95128。
## Routine 就是人生的复利

2026-01-30 (LimBoy)

我们通常会觉得 Routine 是「自由」的反义词,它让人联想到枯燥的重复、僵化的日程表,或者那种一眼就能望到头的生活,这是一个巨大的误解。

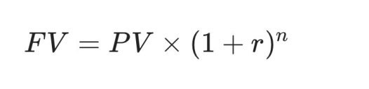
在谈论 Routine 之前,我们先来看看复利公式:


!image


把它放到人生这个大背景下,天赋、机遇和单次努力的强度,构成了那个基础的增长率 r。很多雄心勃勃的人都盯着 r 看。他们试图通过一次通宵工作、一个绝妙的点子或者一次爆发式的冲刺来获得巨大的 FV。

但这很难持久。

Routine 的作用,是掌控指数 n。

在很多方面,Routine 就像是定投。如果只有在「感觉来了」的时候才去写作,或者在「状态很好」的时候才去锻炼,你的 n 是断断续续的,增长曲线是锯齿状的。

而一个好的 Routine 是一种承诺:无论我今天感觉如何,无论 r 是大是小,那个 n 都会自动加一。

当 n 足够大时,它就不再是线性的累加,而是指数级的爆发。那些伟大的小说家每天早起写几千字,不是因为他们每天都有几千字的灵感,而是因为他们把写作变成了一种像刷牙一样的生理节律。他们不对抗它,只是执行它。

这就是 Routine 的本质:它把困难的事情自动化,从而让时间站在你这一边。

很多人认为「我不设计 Routine,是因为我不想被束缚」。但真相是:根本不存在「没有 Routine」这回事。

如果你不主动设计你的生活流程,你的身体和环境会为你设计一套。这套「默认 Routine」通常由你的生物本能(懒惰)和外部世界(诱惑)共同编写。

当你拿起手机无意识地刷了两个小时,这本身就是一个极其高效和稳固的 Routine。

既然「默认 Routine」也是自动化的,为什么我们还会感到疲惫?

因为你并没有完全放弃。内心依然有一个想要变好的声音,它在不断地试图把这辆正滑向舒适区的车拉回来。这就是决策疲劳的来源:一场无休止的内战。

你的本能说:“再休息一会。”
你的理智说:“不行,该干活了。”
你的本能说:“那先倒杯水?”
你的理智说:“好吧,但喝完马上开始。”
这种讨价还价非常消耗能量,宝贵的精力被浪费在了「决定要做什么」上,而不是「做这件事」本身。

一个好的 Routine(比如「穿上跑鞋 = 出门」)是一条不可协商的规则。它绕过了「谈判」环节,直接进入行动。在这个过程中,你宝贵的意志力没有被内耗掉,而是被完整地保留给了真正重要的问题:如何解决这个难题?如何把作品打磨得更好?

如果把人生看作是一项长期的投资,建立 Routine,意味着你从一个短视的投机者,变成了一个长期的价值投资者。

投机者依赖心情、运气、状态、灵感(r),而投资者诉诸系统和时间(n)。

当你开始设计 Routine 时,实际上是在重新分配资产。你不再说「没办法,我就是管不住自己」,而是开始像分析一张糟糕的资产负债表一样分析你的生活:「哦,看来我在‘压力大’这个触发条件下,会自动买入‘逃避’这项资产。我需要调整策略,把它换成‘运动’。」

这并不容易。改变习惯总是痛苦的,但如果坚持下去,哪怕只是每天微调一点点,复利的力量就会显现。

最开始,你只是改变了起床后的 30 分钟。一年后,你会发现你变了一个人。

你不仅改变了你做的事,你改变了你是谁。

所以,不要再把 Routine 看作是一张枯燥的时间表。它是你为了结束内耗、夺回控制权而制定的投资策略。它是你对抗熵增、对抗平庸、对抗混乱的武器。

Routine 就是人生的复利。

#网摘
#网友语录 郝靠谱 人不需要去跟AI比阅读量、加工整理能力,但要成为能驾驭机器的人,要持续学习、保持警惕,持续提升甄别信息的能力和那些AI不可复制的能力。
#网友语录 dimlau 我们知道,宇宙中任何有质量的物体,速度都不可能达到光速,但是宇宙本身,在以超过光速的速度膨胀。结果就是,宇宙远端如果有一颗恒星,它发出的光,以光速朝我飞驰而来,却渐行渐远,永远也到达不了我的眼睛——我,永远,看不到它。更诡异的是,组成我躯体的原子,和那遥远深空中的星尘,本是同一个奇点。我也将活过、追求过,带着遗憾死去。
#网友语录 1byte 每到新的一年都会希望能比上一年多做一些事。即使按照人均寿命最长的国家的标准,我也已经走完了人生的一半。越感受到时间的珍贵,也就越想能做更多事。
#网摘 1byte (江宏)在欧洲租车很少会拿到预约的车型,这次预约的是 Mini Cooper,取到的是 BMW。在国内开惯了电动车再开回油车还挺不习惯的。交通规则和国内最大的差别是红灯不能右转,另外在高速上大家都是在最右的车道行驶,只有超车会换到左边的车道,超完后马上换回右边,不像国内超车道只在理论上存在。

我出去旅行通常都会体验一下当地的公共交通。西班牙的公交对于非居民的方便程度基本和外国游客的数量成正比。比如 San Sebastián,虽然城市不算大,但是游客很多,只要上车刷信用卡就行。Zaragoza 虽然是大城市,但是不是旅游目的地,游客坐公交只能用现金向司机买票。
#网友语录 安子 控制呼吸就能够控制有关自己的一切,呼吸是你与这个世界沟通的方式,是宇宙语言。
#网友语录 郝靠谱 天啦怎么会有这么mini的相机,太可爱了。这个世界上还有什么东西是不会过期的?是影像记录呀!
#书摘 希伯來語擴展到校外的使用,剛開始進度緩慢,1891年的畢業生,畢業後,沒多久就停止說希伯來語;不過,十年後情況大有進展,根據Spolsky(1991),希伯來語已經成為「兒童的語言」(children’s tongue),雖然還不是「兒童的母語」。希伯來語走出學校之外,首先,形成由兒童構成的「希伯來語島嶼」(Nahir, 1988)。兒童之間彼此說希伯來語,然後,透過兒童的語言使用,影響家庭成員,這和一般由成年人傳播母語給兒童的方向相反,透過學校教育進行的語言傳播,常反其道而行,由兒童影響成年人的語言使用。學生因而成為連接家庭和學校語言使用的橋樑(Nahir, 1988)。兒童學會希伯來語,將之帶回家庭使用,也激勵家庭成員使用希伯來語。有些媽媽就上夜校學習希伯來語,以便和小孩使用希伯來語交談,1905年有一則報導提到,一個兩歲大的幼童,把學到的希伯來語敎給父母(Spolsky, 1991)。以色列人喜歡說希伯來語是唯一小孩教父母親的語言,這樣的主題常見於宣傳海報。

!image
#网友语录 郝靠谱 内核稳定具体一点是什么呢,允许一切发生,情绪稳定,无惧,无愧。
@26909 在他们往湖中央前进时,前方的冰面渐渐分开,取而代之的是紧实的大块浮冰。继续走了没多久,他们就看到大量鲸和海豹还有几只企鹅在墨黑的水里扑腾。但是冰太薄太散了,无法继续前进。三人组需要一条小船才可能靠近动物们。不过,企鹅虽然在陆地上十分笨拙,在水里却灵活敏捷。即使他们真有小船,也几乎不可能抓到企鹅。雪橇小分队小心地退回到冰层形成时间更久、更厚的区域,尝试绕湖前进。

他们沿着湖岸行走,湖逐渐缩窄,形成了一英里宽的开阔水道。当夜幕降临(大约在下午3点),他们决定扎营时,他们有一种在一条大河岸边露营的错觉。他们的目光越过河面,看向那座巨大的冰山——仍然在远方。“在行走了一天,前进七英里之后,很显然,我们不比出发时更靠近我们的目的地。”库克写道。

“库克和我辛苦了许久改造好的帐篷很快,也很轻松地就搭好了。”舒舒服服地躺在驯鹿皮睡袋里,阿蒙森不无自豪地写道,“它很牢固,能够抵挡住任何力度的风,但对三个人来说太小了。我们不得不轮流换衣服。”两个睡袋之间架着一个小小的乙醇火炉,晚餐用了六小时才解冻好。

那天晚上,库克的圆锥形帐篷在横扫冰原的劲风中稳稳地站住了。雪花掉落在帆布上的啪哒声将企鹅会的骑士们送入了梦乡。帐篷内部也下起了雪:睡觉的人呼出的水汽在墙壁上结成了冰,又像雪花一样飘落。#书摘
@26909 寒冷最具破坏力的影响是将人们禁锢在船内。严寒确实残酷,但从很多方面来看,它都比稍高一些的温度更受青睐。队员们最喜欢的温度是清爽的零下26度左右,这时,空气中的所有水分都被冻干了。随着温度计读数往上攀升,潮气开始渗入衣物和被褥的每一丝纤维,产生一种似乎违背常理的效果:人们感到更冷了。“我们尝试了每一种可能的办法……来去除潮气,”库克写道,“但没取得多少成功。”把手伸到床底,甚至可以掰下冰锥子,丁零当啷地掉在地上。“若是把床垫抬起来,可以看到每一颗钉子都包了一层冰。”库克写道。#书摘

!image

图为威廉山前的比利时号
仇恨是对自己的诅咒。放下仇恨也是放过自己。这世上没有无缘无故的爱,却充斥着无缘无故的恨。真是悲哀。#观点
2006年,美国芝加哥的Cook郡监狱和洛杉矶郡监狱的图书馆藏书都达到了250万册,并列监狱图书馆规模第一。美国监狱大多有条件良好的图书馆,原因是他们认为读书有助于改造犯人。#网摘
美国当代女诗人玛雅·安吉鲁的问题:人是否需要解放自己?人是否需要解放别人?人能否不解放别人只解放自己?人能否只解放别人不解放自己?#网摘
#网摘 Marskay 都说北京越来越没意思,这背后有一个原因:20-34岁人口在9年里减少了34%,目前这个年龄段的只有454万人,占全市常住人口的20%,之前占比是超过30%的。
#网摘 她说她在办公室接到老师的电话后,就号啕大哭,她说“我觉得我太失败了。我挺要强的,我自己的工作都做得很好,他爸爸为了国家项目被全封闭在一个地方,可是,为什么我儿子被老师那样批评,我为什么让老师这么对我。”

我记得特别清楚,当时我们俩开完家长会出来,我们俩的儿子都是被打到屏幕上批评的那种,我们站在学校围墙外面说了三四个小时,其实是互相倾诉。她说她在办公室经常忍不住哭,有一天她的领导发现了,安慰她说,“你孩子现在还健康,还每天高高兴兴去上学,你只是去挨个批,这就很好了。我跟你说说我儿子。领导说他儿子那年是高三,马上面临高考,可孩子说什么也不去学校。有一天晚上他进儿子房间,发现儿子站在写字桌上,窗也拉开了,一只脚就要跨出窗。他说如果他当时冲过去,他儿子可能就跳下去了。他就假装不知道他儿子要干吗,特别平静地说,儿子你干吗,我饿了,你陪我下去吃个羊肉串。他说他儿子在那犹豫了一会儿,然后把腿收回来了。他什么也没说,在儿子下来那一刻,他说他腿都软了,但是他就一点没表现出来,过去抓着他儿子的手,紧紧地握着,真的下楼去吃了羊肉串,中间也没有问他。他说,你说到这一步,谁还去要他的成绩?孩子健健康康地活着就是最大的幸运。
#网友语录 piglei

40 年前,图灵奖得主 Fred Brooks 说“没有银弹”,指“没有任何一项技术或方法可使软件工程的生产力在十年内提高十倍”。

40 年后,软件开发者已然分为两派。第一派仍相信没有银弹,另一派则坚信银弹已经出现,造成这种分歧的关键原因,是前者读(Review) AI 写的代码,后者则完全不读。

(我属于Review AI 代码那一派,但我很有信心软件生产力在未来十年内提高十倍甚至更多。现在从一个想法到一个成熟的app周期已经很短了。而且AI也能帮助review代码。各方面效率都大大的提升了。然而好的软件是迭代出来这点并没有改变。一天得到第一版是可能的,但这个版本稳定还用,就需要一个月甚至更多的时间。这个过程里,懂软件开发的人类的干预...至少在现阶段还是必不可少的。
#网摘 小熊娃娃 昨天跑完步回家,街角有个摊鸡蛋卷的小贩,回头多看了一眼,虽然家里还有很好的鸡蛋卷没开封,但还是买个支持一下吧。付款时看到他的微信名是“平平安安鸡蛋卷”,感觉有些心酸。(大家帮助大家,挺好
Back to Top